Why do Americans drink so much water?
I was intrigued enough by an article on hydration, Which drink is best for hydration? Hint: It isn't water, which appeared in my news feeds that I dug up the original paper, A randomized trial to assess the potential of different beverages to affect hydration status: development of a beverage hydration index, which seems to be from legit scientists, so I tweeted about it:
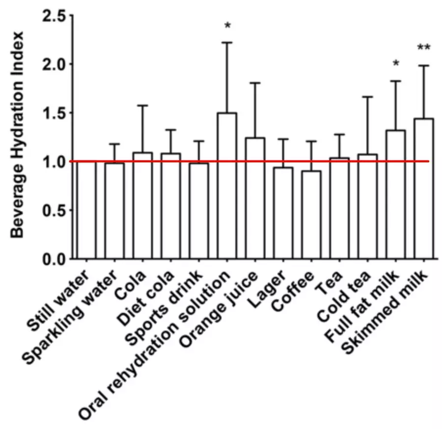
It turns out that water is not the best way to keep hydrated. Milk is better.
— Eamonn O'Brien-Strain 👨💻🔍🌁🇮🇪🇪🇺🇺🇲🇺🇳⚛️ (@eob) September 26, 2019
And beer or drip coffee are almost as good as water for hydration.
Good news for me as I seldom drink water, but drink lots of coffee all day, capped by a beer in the evening.https://t.co/KFaqQZtvZe pic.twitter.com/FTSd2VGgnJ
This seems to go against the conventional wisdom in the United States, where people feel the need to drink a lot of water to be healthy.
As someone who grew up in Ireland, I do find it strange how much value Americans put on water. In Dublin we had very high quality water from the Wicklow Mountains but we did not drink plain water that often. At family dinner we would not have water on the table, or indeed any drink. Instead we would drink copious amounts of tea after each meal and throughout the day.
Of course most of the United States gets much hotter in the Summer than Ireland, and indeed I'm suspicious that the kidney stones I developed within a few years of coming to the US were caused by me not upping my liquid intake to match the increased temperatures I was experiencing.
But even in hotter parts of Europe people don't drink as much water as Americans. Ubiquitous water is not the norm. In most restaurants you have to pay for bottled water if you want water with your meal.
But I've always been a bit dubious that there is a scientific basis for drinking quite as much water as many Americans believe is necessary to be healthy, and I've been suspicious of the assertion that coffee and beer "don't count" because of the diuretic effect of caffeine and alcohol.
The paper does seem to confirm my suspicions, and a quick Google search finds some confirmation. For example the New York Times UpShot column determined No, You Do Not Have to Drink 8 Glasses of Water a Day, which is confirmed by WebMD in The Quest for Hydration.
The "8 glasses of water" requirement actually includes all the water in food, and since the majority of most food is water, you can get a lot of your hydration needs just from eating. And if you consider water from coffee, tea, and beer you can easily get all your water needs without drinking actual water.
So, this emphasis on drinking water is a weird peculiarity of American culture, but it is a pretty harmless peculiarity. Even if the hydration benefits are greatly exaggerated, it is still good for the health if consumption of water displaces excessive consumption of alcohol or sugary drinks.
